江若(三十三間山)風力発電への提言
私は朝起きると三十三間山の朝日を拝める場所に住んでおります。ある日三十三間山の山頂になにか線のようなものが登場しました。地元にはなんのお知らせもなかったので、ネットで調べたところ風力発電建設のための風況調査用の観測鉄塔だということが分かりました。2022年10月に撮影した写真が以下の写真です。

だれもこんなところに巨大な風車が建設されるとは想像もしていませんでした。建設されると轆轤山から三十三間山を通って大日岳の尾根沿い6kmが200m近い構造物で占められてしまいます。風力発電コンサルタントの日本気象協会の方々の努力により、日本国内の風力エネルギーがあるところが調査され、現在その豊富な風力資源のある場所として若狭と近江の間の尾根が大規模風力発電が可能な場所として注目されているようです。風力エネルギーは自然にやさしく資源コストが無料であるとされ、推進されているようですが、その代償として広大な山林の開発が必要です。
また、バードストライクがあった場合、飛ばされた鳥はほとんど他の動物に捕食されるでしょうが、どれくらいの距離まで飛ばされるのかは明確になっていません。また、若狭は特に雪深く日本海特有の湿気を含んだ重い積雪があります。そのため、風車のブレードへの着氷もあります。居住する立場から鳥や氷塊がどのように投射されるのか、上水道の安全は確保されるのか、超低周波はどのように伝搬するのかを考察いたしました。
オランダへ2017年に行きました時には風車が風景になじんでいました。

オランダやデンマークには山がなく、ドイツにおいては国土全体が山で平坦な地形の中に風車は建設されています。日本の地方はどんどん人口が減少し、田畑は放棄されソーラーパネルに代わり、山は荒れて風車に代わり、あと10年すると地方から人がほとんど消え、荒れ地となっていくのは確実のようです。10人に1人が東京に住み、電気エネルギーの生産に邁進しAIだけが生き残っていくようです。
- 風の吹く場所
風力発電のためには風況の調査が必要です。NEDO(国立研究開発法人新エネルギー・産業技術総合開発機構)のHPから局所風況マップの調査ができます。三十三間山は野坂山地に位置していて、局所風況マップで検索すると次のようになります。

赤く記されているところが地上高70mで強く風が吹いているところです。風配図は次のようになります。
風力エネルギーが存在する最適な場所が公開されていますから、このデータをもとに誰もが無料で利用できる資源として、風を求めてゴールドラッシュが始まっています。しかし、エネルギー保存の法則から、風力エネルギーを電気エネルギーに変換すれば今までそのエネルギーを利用していた動物や植物が影響を受けることは明らかです。風力エネルギーを電気エネルギーに変換するさいには様々な副産物も生じます。必ずしもクリーンなエネルギーというわけではありません。
- 風力発電所の風車ブレードから投射される個体の最大到達距離の計算
個体:ブレードに着氷した氷塊及び衝突した鳥類
風車は風力エネルギーを電気エネルギーに変換するために、風の直線的な動きを回転運動に変換し、発電機を回します。原理は簡単ですが、風車が巨大なため、その回転により鳥や氷塊、破損した風車のブレードを吹き飛ばすことがあります。そこで、まず個体を質量がない点と仮定した場合を考えます。山頂に設置された風力発電所の風車ブレードから、大谷選手がホームランを打つように45度上方に初速度が翼端速度で投射された個体が標高0mの地点に空気抵抗がないと仮定した場合に到達する最大距離を計算します。
以下に最大到達距離を計算するフォームを作成しました。既知のデータの「ブレードの1分間の回転数」、「ブレードの半径」、「山の標高」、「タワーの高さ」を入力し、「翼端速度と最大到達距離を求める」ボタンをクリックすると、秒速と時速の翼端速度と個体の最大到達距離が出力されます。
 |
山頂に設置された風力発電所の風車ブレードから個体を45度上方に投射
- 三十三間山における計算例
- 資源エネルギー庁のホームページ内に掲載されている「風力発電施設における騒音及び超低周波音について」日本大学 町田信夫著(https://www.enecho.meti.go.jp/category/saving_and_new/saiene/yojo_furyoku/dl/kyougi/akita_yuri/02_docs07.pdf)より風車のデータ例を抽出し試算すると、
| 1.5MW機 | アップウィンドウ型 |
| ロータ径:70.5m | タワー高さ:65m |
| 全高:約100m | 誘導発電機(増速機あり) |
| 回転数:12-22.2rpm | 翼端速度:82m/s(max) |
|
入力データ:
| 回転数:22.2rpm | ブレードの半径:35.3m |
| 山の標高:842m | タワー高さ:65m |
結果:
| 翼端速度:82m/s | 翼端速度:295km/h |
| 最大到達距離:1476m |
- 三十三間山に最初に計画された風力発電の概要データ
| 定格出力:6100kW | ブレード枚数:3枚 |
| ローター直径:約158m | ハブ高さ:約101m |
| 最大高さ:約180m |
入力データ1:
| 回転数:12rpm | ブレード半径:79m |
| 三十三間山の標高:842m | タワー高さ:101m |
結果1:
| 翼端速度:99m/s | 翼端速度:357km/h |
最大到達距離:1998m |
入力データ2:
| 回転数:22rpm | ブレード半径:79m |
| 三十三間山の標高:842m | タワー高さ:101m |
結果2
| 翼端速度:182m/s | 翼端速度:655km/h |
| 最大到達距離:5200m |
- 修正された計画案
・「三十三間山風力発電」から「江若風力発電」に名称変更、高さ180mから169mに変更(中日新聞より)
・出力6100kwから4000kwに変更(2025年11月7日(金)わかさ東商工会本所における江若風力環境アセスメント中間説明会でのJWE社長中渡秀廣氏による口頭発表より)
ブレード半径は出力比の平方根に比例することから修正後のブレード半径は64m、タワーの高さが全体の高さに比例して変化すると仮定した95mを入力データにすると
入力データ1:
| 回転数:12rpm | ブレード半径:64m |
| 三十三間山の標高:842m | タワー高さ:95m |
結果1
| 翼端速度:80m/s | 翼端速度:289km/h |
| 最大到達距離:1465m |
入力データ2:
| 回転数:22rpm | ブレード半径:64m |
| 三十三間山の標高:842m | タワー高さ:95m |
結果2
| 翼端速度:147m/s | 翼端速度:530km/h |
| 最大到達距離:3694m |
つまり、赤色で記載した距離まで鳥や氷塊が飛ぶ可能性があるということになります。実際には以下のReferenceにある文献のように、破損したブレードや氷塊は点ではなく、平面の物体であるため、揚力、抗力を考えた詳細な計算が必要になります。日本の風力発電所は温暖な場所や、寒冷地でも海側に設置されているため積雪による氷塊の落下の事例は報告されていません。ヨーロッパでは風車が停止している場合作業員に氷塊が落下する危険性や、風車が回転したときのスリングショット(ゴムパチンコ)効果による飛散が報告されています。若狭地方の雪は湿気を含み重いため、ヨーロッパと同じような計算結果になるかは不明です。
Reference:
- Hamid Sarlak and Jens N Sφrensen. Analysis of throw distances of detached objects from horizontal-axis wind turbines, Wind Energy, 2015.
- Seifert H, Westerhellweg A. Kroning J.Risk analysis of ice-throw from wind tubines, Proceeidngs BOREAS 6, Pyha, Finland, 2003;1-9.
- Biswas S, Taylor P, Salmon J. A model of ice-throw trajectories from wind turbines. Journal of Wind Energy 2012; 15(7): 889-901.
- Yanco Delta Wind Farm. Technical Report - Blade Throw Assessment, Australia, 2022.
- Thomas Hahm and Nicole Stoffels. Ice Throw Hazard Experiences and Recent Developments in Germany, F2E Fluid & Energy Engineering GmbH & Co.KG.
- Lcroix A, James MF. Wind energy: Cold weather issues. Renewable Energy Research Laboratory, University of Massachusetts at Amherst, 2000.
- Morgan C, Bossanyi E, Seifert H. Assessment of safety risks arising from wind turbine icing, Proc BOREAS IV, Hetta, Finland, 1998; 113-121. Finnish Meteorological Instritute, Also see EWEC’97, Proceedings of the International Conference, Dublin Ireland, October 1997. P. 141-144.
- Cattin R, Kunz S, Heimo A, Russi G, RussiM, Tiefgraber M. Wid turbine ice throw studies in the Swiss Alps, paper presented at EWEC 2007, 2007.
- 風車が施工された場合の若狭町からのおおよその見え方
集落のある観察点からは三十三間山の全貌が見渡せます。三十三間山を中心にした観察点からの視角(JWE環境配慮書より抜粋改変)はほぼ90°になります。

三十三間山を正面にした若狭町の観察点からの眺望(Google mapより改変)です。

上空から見た17機の風車の眺望(Google map 3D画像より改変)は次のようになります。

環境配慮書における眺望点の選定には、公的なHPや観光パンフレット等に掲載されている情報であり、不特定かつ多数の利用がある地点または眺望利用の可能性のある地点が選定されています。その結果@赤坂山、A大谷山、B三十三間山、C道の駅 三方五湖が選定され可視領域として予測されていて、若狭町の居住地域は含まれていません。実際には三十三間山と轆轤山は観光として眺望することはほとんどなく、住民が日常的に目にするもので、その意味でも霊山とされていて若狭に住む人たちの心のよりどころとなっています。
若狭町長は反対の意向を示しています。
以下は2025年12月13日の轆轤山の南側から昇る朝日と三十三間山の麓にでる朝霧の様子です。


- 若狭町における上水道と風力発電所建設の関係
上水道に天増川の表流水を利用している地域を若狭町の資料より抜粋いたしました。工事による汚濁や取水位置よりも上流に変電所が施工された場合、現在の熊川浄水場の能力で汚染物を除去できるのか疑問が残ります。

天増川の表流水を飲料水にしている地域

天増川の表流水の取水位置の状態

ジャパンウインドエンジニアリングの水質調査地点の見解
参考資料:資料2−1−2(公開版)令和6年3月18日 風力部会資料(仮称)三十三間山風力発電事業 環境影響評価 方法書 補足説明資料(令和6年1月 株式会社ジャパンウィンドエンジニアリング)
- 超低周波音に関して
- 2025年11月7日(金)わかさ東商工会本所における江若風力環境アセスメント中間説明会で日本気象協会の鍋島氏より、「平成22-24年度環境省戦略指定研究領域研究課題(S2-11風力発電等による人への影響評価に関する研究」に記述されている以下のグラフをもとに人体への影響はないとの説明がありました。

上記のグラフは以下に示されている風力発電施設周辺地域36箇所のうち、風車騒音が測定できた29の風力発電施設周辺の31地域の合計164地点におけるデータの集計で、定格出力が400kwから2400kw、風車の設置数は1基から24基となっています。三十三間山の当初の6100kwおよび修正後の4000kwよりもはるかに小さく、17基以上設置しているのは4個所のみでした。


参考文献と日本語全訳、資料提供元のHP、日本での低周波被害の発表
- Kommentierung Verschiedener Studien und Berichte uber Infraschall (Henning Muller)
- 低周波音に関する様々な研究や報告についての解説(Henning Muller氏の資料の日本語訳)
- ドイツの環境測定のコンサルトセンターのホームページ(Henning Muller氏の資料の掲載ページ)
- 由良守生氏の第73回土木学会での発表動画(Henning Muller氏の資料が参考文献)
- Injury of sonic weapons to human body: A narrative review
- 音響兵器による人体への傷害:叙述的レビュー(日本語訳)
- The Frey Effect of Microwave Sonic Weapons
- マイクロ波音響兵器のフレイ効果(英語原文と日本語訳)
- Science has a solution for sonic weapons caused cancer
- 科学による音響兵器が起こす癌の解決策(日本語訳)
- Acoustic Weapons - A Prospective Assessment
- 音響兵器−将来的評価(日本語訳)
- Effects of Low Frequency and Infrasonic Noise on Man
- Effects of Low Frequency and Infrasonic Noise on Man(Aerospace Medical Association)
- 低周波および低周波ノイズが人間に与える影響(日本語訳)
- Wind Turbine Syndrome and the Brain (Nina Pierpont)
- 風力タービン症候群と脳(日本語訳)
- Low frequency sound from wind turbines affects the inner ear(Alex N. Salt)
- Infrasound From Wind Turbines Could Affect Humans(Alex N. Salt)
- 風力タービンからの低周波音は人間に影響を与える可能性があります(日本語訳)
- 低周波被害とは何か?(小林芳正:低周波被害とは何か?.日本の科学者 152(7),日本の科学者会議,2017;7
- 大型風車が誘起する地盤振動伝播の方向特性(小野寺英輝、岩手大学リポジトリ)
- 大型風車から発生した低周波振動の伝播に関する研究(小野寺英輝、科研費)
- 風車超低周波音2025(第1部):宇山靖政著
- 風車超低周波音2025(第2部):宇山靖政著
- 風車超低周波音2026(第3部):宇山靖政著
- 風車の超低周波音について(宇山靖政氏のサイト)
- 17基からでる超低周波の音圧レベルを考察
風車の回転数から発生する超低周波を推測し、17基から発せられる音圧レベルを計算します。
3枚羽が1分間に20回転する状態を1枚の羽根の回転数に換算しますと

20×3 = 60
となり、1分間に1枚の羽根が60回転するのと同等になります。
次に、1秒間の回転数に換算しますと
60/60=1
つまり、1秒間に1回転し、1Hzの空気振動を起こすことができます。
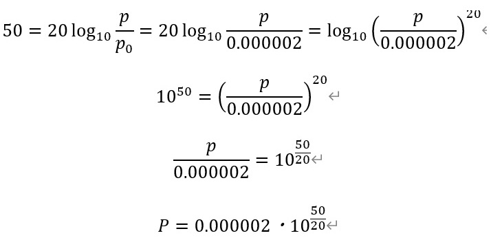
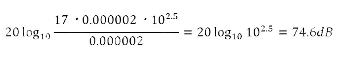
測定結果のグラフから1Hzの超低周波の音圧レベルの最低の数値を50dBとし、17基が同じ方向を向いて17倍の音圧を生じると仮定したときの音圧レベルを計算します。まず、1基の音圧を求めると

17基が同じ方向に向いているとして1基の音圧を17倍すると

音圧レベルを求めると

1Hzは耳には聞こえませんが、音圧レベルは74dBとなり大きな騒音と同じレベルになります。
- 地形的特徴と風向・音圧
- 地形的特徴
三十三間山の頂上は笹で覆われ、大きな木がないため見晴らしがよくなっています。地元の中学校の遠足で三十三間山に登ってすごく感動したことを思い出します。そこから尾根沿いににある轆轤山は最近は鹿の食害で火星のようだと例えられているのをネットで見たことがあります。福井県緑のデータバンクすぐれた自然データベースには三十三間山と準平原山地として紹介されています。国土地理院の地図は以下のようになっています。

また、若狭の集落は山々の谷にへばりつくように風の陰になるように位置していて、それぞれに寺や神社があり集落名がついています。谷の部分では早朝に濃い霧が夏場には発生します。土地の特徴は上中の段丘としてデータバンクには紹介されています。

- 風の向き
今津地域気象観測所における1991〜2020年の30年間の最多風向を(気象庁のホームページより)みてみますと以下のようになります。
つまり、西北西からの風が年間を通して吹いていることから、風車はいつも西北西の若狭町側を向いていて、並列に同位相の音波を発生すると考えられます。
- 音圧の方向(Google mapより改変)

地図では音圧の方向は西北西の集落の方向に向いていて、黄色の矢印に示した方向に大きくなると考えられます。
- 日本全国の風力発電所一覧地図
国立情報学研究所北本朝展研究室が作成されているElectrical Japanのホームページに日本全国の風力発電所一覧地図が掲載されています。
風力発電所の場所を調べてみますと次のような地図になります。

秋田県周辺を中心に東北地方に偏って建設されていることが分かります。熊の出現数との相関関係は科学的ではないということでマスコミには取り上げられませんが、調べれば明らかに正の相関がみられると思います。しかし表立って計算する人はいないでしょう。また、山の中の木の実が不作とよく報道で耳にしますが、ここ若狭ではむしろ柿やドングリなどは豊作で、毎年民家まで下りてくる猿も今年は全く姿を見せていません。
太陽光発電所の場所は次のような地図になります。

全国に太陽光発電所は存在しますが、太平洋側に偏る傾向が見られ、秋田県はむしろ少ないように思われます。
Copyright (c) 2025 Tanabe Tadaaki. All Rights Reserved.